Telefon: +90 312 4733013 | Email: info@noktasalproje.com | Harita: Yol Tarifi Al

Noktasal Proje Mühendislik Danışmanlık İnşaat Mimarlık Eğitim San. ve Tic. Ltd. Şti.
20 yıllık mühendislik deneyimimizle ezberin ötesine geçiyor, projelere özgü orijinal çözümler üreterek fark yaratıyoruz.


    Standard Post with Image

    011. Açık Drenaj Kanallarında Sürükleme Gücünün Hesaplanması

    Açık Drenaj Kanallarında Sürükleme Gücünün Hesaplanması 1. Giriş Açık dre...

    Oku...
    Standard Post with Image

    010. Temel Drenaj Sistemlerinde Sızıntı Suyu Hesabı

    Temel Drenaj Sistemlerinde Sızıntı Suyu Hesabı ve Tasarım Kriterleri: Teorik Bir Yak...

    Oku...
    Standard Post with Image

    009. Temel Drenal Sistemi Temel Drenaj Pompa Seçimi

    Temel Drenaj Menholü Pompa Seçimi Revize sürüm. Bu dosyada normal ve maksimum debi...

    Oku...
    Standard Post with Image

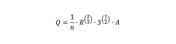
    008. Açık Kanal ve Dereler İçin Manning "n" Katsayısı

    Açık Kanallarda Manning Pürüzlülük Katsayısı 1  Özet Manning’in ...

    Oku...
    Standard Post with Image

    007. Boru Manning "n" Katsayıları

    Boru Sistemlerinde Manning "n" Katsayısı Özet Manning pürüzlülük katsayısı (n), açık kanal ve ba...

    Oku...
    Standard Post with Image

    006. PE100 Boruların Birim Maliyet Tabloları

    TEKNİK RAPOR Konu: PN Sınıflarına Göre PE100 Boruların Teknik İncelemesi ve Birim Maliyet Analizi ...

    Oku...
    Standard Post with Image

    005. PE100 Boru Çap Tablosu

    PE Pipe Catalog PE Pipe Catalog : Farklı boru çaplarına ait PE100 boru tablosu; çap et kalınlığ...

    Oku...
    Standard Post with Image

    004. PE100 Borular ve SDR Kavramı

    PE100 Borular ve SDR Kavramı body { font-family: Arial, sans-serif; line-...

    Oku...
    Standard Post with Image

    003. Python ile HEC-RAS Hesaplamaları ve Monte Carlo Yöntemiyle İterasyonlar

    Python ile HEC-RAS ve Monte Carlo Yöntemi body { font-family: A...

    Oku...
    Standard Post with Image

    002. Python ile CAD Çizimi: ezdxf Kütüphanesi Üzerine Bir İnceleme

    Python ile AutoCAD Çizimi: ezdxf Kütüphanesi Üzerine Bir İnceleme body { ...

    Oku...
    Standard Post with Image

    001. AutoCAD Kullanıcıları İçin Hayatı Kolaylaştıran Komutlar

    AutoCAD Kullanıcıları İçin Hayatı Kolaylaştıran Komutlar body { ...

    Oku...